
For decades, acousticians and sound system designers have relied on simulation software to predict and optimize the acoustic performance of venues and the behavior of complex loudspeaker systems (Figure 1). From reverberant cathedrals to intricate line array deployments, simulation software provides insights unattainable through mere estimation. However, this power usually came at the cost of speed. The conventional workflow — model creation, parameter setup, running calculations, and then result analysis — has been an accepted, if sometimes frustrating, reality. This “two-phase” process inherently limits rapid design iterations and can obscure the direct cause-and-effect relationship between design choices and acoustic outcomes.
The recently released EASE 5 Third Edition addresses this bottleneck with the introduction of Acousteer, a real-time acoustic simulation engine initially focused on the direct sound field — the critical first step in most acoustic designs.
The Old Bottleneck: A Two-Phase Problem
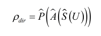
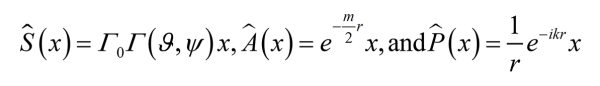
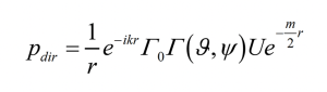
The accurate simulation of the direct sound field in medium to large venues is computationally intensive. According to the complex-directivity point source (CDPS) model, the complex direct-field sound pressure p at a receiver location can be described by:
 (1)where r is the distance between the source and the receiver.
Γ0Γ(ϑ,ψ) is the complex-valued directional far-field transfer function of the speaker.
U is the input voltage applied to the loudspeaker.
m is the coefficient for sound attenuation by air.
When looking at a power-based formulation, Equation (1) can be rewritten for the direct sound pressure level in the form:
 (2)where:


To achieve measurement-grade accuracy (e.g., average uncertainty as low as 1dB), high-resolution, complex-valued loudspeaker directivity data (e.g., 1/24th octave) is essential. Considering multiple sources (dozens to hundreds in sound systems with line arrays or column speakers) and thousands of receiver points for audience area mapping, the total number of calculations can easily reach the order of billions. We must also take into account the final summation of all source contributions at each receiver point, which further intensifies the computational load, increasing processing power and system memory requirements accordingly.
This computational demand, coupled with software architecture designed for sequential processing, led to the entrenched two-phase workflow as shown in Figure 2. Users often batch multiple changes before initiating a new calculation run, a process that is both mentally demanding and prone to error, not to mention the inherent waiting times.
The Acousteer engine in EASE 5 aims to dismantle this two-phase barrier, fostering an interactive and fluent design process. The objective is to provide immediate feedback, allowing designers to intuitively understand how modifications — such as moving a loudspeaker, adjusting aiming, or changing signal processing — affect the sound pressure level (SPL) distribution (Figure 3).
The development team targeted specific response times:
• Acceptable: 0.5 to 5 seconds — enabling a largely uninterrupted workflow.
• Good: 0.1 to 0.5 seconds — fostering a sense of immediateness vital for intuitive learning.
• Ideal: less than 0.1 seconds — making calculations feel seamlessly integrated with model rendering.
At the initial phase of research, it was determined that the calculation would have to be performed locally. A cloud-based solution would present significant disadvantages for this new paradigm. Among other reasons, the potentially high latency of typical Internet connections would significantly reduce the software’s ability for quick interactivity. Furthermore, the requirement to display detailed maps with high refresh rates could be severely limited by the available data bandwidth.
In environments without Internet access or with strict security regulations, this functionality would not be available at all. Last but not least, end users' costs for using readily available desktop hardware are negligible compared to the ongoing expense of cloud computing resources.
Real-time performance requires a highly granular software architecture, where every component from processing user inputs to preparing the model and visualizing results, is fine-tuned for speed. This approach is at the heart of a genuinely interactive experience which requires quick responses at every step of the process (Figure 4).
On the input side, any operations that could slow things down are only done when absolutely necessary. This smart pre-processing entails managing data effectively and using advanced caching techniques. For instance, tessellation of room geometry for calculations is only updated when there is a change in the actual room surface.
Other tweaks, such as adjusting a loudspeaker’s position, will not trigger this process. Likewise, the complex characteristics of loudspeaker directivity are usually pre-processed to a specific resolution and format; these well-prepared datasets only need to be refreshed if the speaker model changes. Signal processing, which can involve a complex series of filters and adjustments for each source, is combined into a single complex valued filter function for each source or channel, and this function only needs to be recalculated when a user changes a specific filter setting in that signal path (Figure 5).

 (3)This structure, shown in Figure 6, allows for maximum parallelization, as these transformations can be applied concurrently to each combination of frequency, mapping point, and source. As an estimate for one billion data points, a system with 100 threads at 2GHz could spend up to 200 cycles per data point transformation to achieve a 1-second throughput.
Post-calculation, the challenge lies in quickly visualizing these results to maintain interactivity. For example, if the underlying room geometry remains static during a sound system adjustment, data already sent to the graphics engine to render the room can be recycled at the graphics engine level, thus avoiding redundant data transmission and processing.
Recognizing that frequent memory allocation is a time-consuming operation, the system prioritizes the reuse of existing data structures whenever possible. This is critical to optimizing the speed of the entire post-processing and rendering process, ensuring that visual feedback is as immediate and fluid as the computation itself.
Putting Acousteer to the Test: Impressive Performance Gains
The theoretical promise of real-time simulation is enticing, but the real question for practitioners is how Acousteer actually performs in real-world, demanding scenarios. To answer this question AFMG conducted extensive performance measurements, putting the new engine through its paces with a series of typical projects. These included a detailed model of a theater hall, a more acoustically complex music hall, and a large sports stadium, each presenting unique computational challenges (Figure 7).
The results, especially when comparing Acousteer with EASE's preexisting calculation modules, are truly compelling. On the slowest test platform, System A, which represents hardware that many professionals could continue to use, Acousteer delivered an average performance improvement of approximately 30x on intermediate resolution tasks (Figure 8). This dramatic increase shifted performance on complex tasks, which often took minutes (well above the “Acceptable” target response time), directly into the “Good” range, typically between 0.1 and 0.5 seconds.
For the largest and most demanding project, the sports stadium with 150 sound sources, the new engine, running on the three most modern systems (B, C, and D), consistently achieved calculation times within the “Ideal” range, meaning that updates often felt instantaneous, below the 0.1-second threshold (Figure 9).
In addition to raw speed improvements on specific tasks, the research also delved into Acousteer’s scaling properties as the computational load increased, specifically with the number of mapping points. For a fixed number of sources and frequencies, computation performance was observed to operate in one of three distinct regimes.
At lower resolutions, the total computation time is typically dominated by constant overheads: the fixed time required for pre-computation setup, post-computation processing, memory allocation, and similar fundamental tasks, regardless of the number of mapping points. As the resolution increases into the mid-range, a more complex interplay emerges where these constant effects combine with linear and nonlinear behaviors. This can lead to a wider dispersion in computation times.
Finally, at high resolutions, the system adopts predictable linear scaling, where, for example, a fourfold increase in mapping points results in a roughly fourfold increase in computation time.
The point at which this stable linear regime is reached appears to be at higher resolutions for smaller projects compared to larger ones, suggesting that a minimal computational workload per run is required to consistently realize the full optimization potential of the hardware (Figure 10).
Technical Considerations
The developers are upfront about the practical technical variables and limitations inherent in achieving such performance on various user hardware. For example, CPU and GPU performance is not always constant. Depending on the current system load and proprietary heuristics built into the hardware, processors can dynamically increase their clock frequencies.
While this typically results in welcome performance improvements, sometimes two to three times (and is especially noticeable during rapid interactions with the graphical user interface), it can also introduce variability. If a user makes multiple model changes in rapid succession, the update rate could increase, while slower, more deliberate changes might experience a slightly lower update rate as the system may not maintain its full power.
Efficiency when performing more complex mathematical operations than simple vector addition, such as calculating trigonometric functions, can vary significantly depending on the specific computing hardware and processor generation. Differences of up to tenfold in the number of cycles for such operations are not uncommon. Data transfer between different system components, especially the critical path between the CPU and GPU, can also become a bottleneck due to limited memory bandwidth. In some cases, transferring the necessary data to the GPU for processing can take longer than the calculations themselves.
Despite these current variables, the fast pace of technological progress in CPU/GPU performance and scalability means that future performance improvements and smoother experiences seem almost certain.
Advantages for the Audio Professional
The transition to real-time direct field SPL simulation, validated by these practical tests, offers profound and tangible advantages for anyone involved in acoustic and sound system design. In fact, some benefits became even more apparent once the software became widespread.
The most obvious is the significant reduction in calculation time, which translates directly into shorter project completion times. This not only improves cost-effectiveness but also allows users to evaluate a greater number of design variants and reduces the likelihood of errors persisting due to long feedback
loops.
Perhaps most transformative is how Acousteer encourages creativity and experimentation. Which was until now practically impossible due to time constraints and the separation of results from the set-up process. By using the new engine, creative design iterations and exploration of what-if scenarios can be done continuously and without hesitation, rather than reserved for ad hoc occasions. The ability to experiment with different ideas becomes a fluent scenario and an engaging part of the design process.
This immediacy also makes the software much more intuitive to use. Any change made to the virtual model, whether adjusting a loudspeaker’s aim or modifying an environmental parameter, has an immediate and reversible effect on the visualized acoustic results. This short feedback loop allows users to more quickly and deeply understand the cause-and-effect relationships between their design’s specific properties and the resulting sound field.
Real-time updates also open up new potential for collaboration. Key design data can be communicated and demonstrated more effectively when colleagues or clients can see the changes reflected instantly. New ideas can be tested together, and different solutions to a specific challenge can be explored and compared on the fly, enabling more informed and collective decision-making.
Finally, because calculation results are immediately available and visible, the need for the user to meticulously store, name, and retrieve numerous sets of static results for comparison is significantly reduced. As a result, overall data management for projects becomes considerably simpler and less laborious.
The Future Is Interactive
The Acousteer engine within EASE 5 marks a pivotal advancement, demonstrating that the traditional, time-consuming two-phase acoustic design process can be overcome with modern hardware, intelligent software architecture, and optimized algorithms. While currently focused on the direct sound field—the essential foundation of sound system design — this technology lays the groundwork for progressively integrating other acoustic calculations and measures into this interactive, real-time framework.
For acoustic consultants and sound system designers, this heralds a new era of intuitive, efficient, and ultimately more creative design. The era of waiting for acoustic simulations to complete is drawing to a close; real-time acoustic design is rapidly becoming the new standard. For further details on EASE 5 and Acousteer, visit AFMG’s website. The foundational research was presented at the 2025 International Conference on Noise and Vibration Engineering (ISRMA) conference and published in the Proceedings of Meetings on Acoustics (POMA) by the Acoustical Society of America (ASA) as a paper by Stefan Feistel and Wolfgang Ahnert. aX
Resources
AFMG: www.afmg.eu
This article was originally published in audioXpress, August 2025.
About t
he AuthorsStefan Feistel received a Master’s degree in physics from Humboldt University, Berlin, Germany in 2004. He received his PhD on computational modeling of sound systems from the department of technical acoustics at the RWTH Aachen University in 2014. In 2000, together with Dr. Wolfgang Ahnert, he founded SDA Software Design Ahnert GmbH, which is dedicated to the development of acoustic modeling and measuring software, such as the simulation software EASE and the measurement tool EASERA. To coordinate the worldwide marketing and distribution activities, the Ahnert Feistel Media Group (AFMG) was established in 2006. Stefan Feistel is a member of AES, the ASA, the DEGA, as well as of several IEC standards working groups. Dr. Feistel authored or co-authored more than 100 papers and patents focusing on software projects and related mathematical, numerical, and experimental background studies. The JAES article on Methods and Limitations of Line Source Simulation has been distinguished with the AES Publications Award 2010. Stefan Feistel is the author of the book Modeling the Radiation of Modern Sound Systems in High Resolution, and a co-author of several books including Messtechnik der Akustik, edited by M. Möser, Handbook for Sound Engineers, edited by G. Ballou, Sound Reinforcement for Audio Engineers, edited by Wolfgang Ahnert and Dirk Noy, and Architectural Acoustics Handbook, edited by Ning Xiang.
Wolfgang Ahnert is honorary professor of the Film University Babelsberg/Germany and guest professor at the Rensselaer Institute for Architecture in Troy/USA and the Lomonossov University Moscow. Dr. Ahnert is fellow of the Audio Engineering Society, of the Acoustical Society of America, and the British Institute of Acoustics. He is a member of the German DEGA. And he has more than 120 scientific lectures published.  Dr. Ahnert is author or co-author of numerous books including Fundamentals of Sound Reinforcement (1981, 1984 in Russian) and the book Sound Reinforcement - Basics and Practice (1993, 2000 fully updated in English, 2002 in Chinese, 2003 in Russian, and 2021 updated in Arabic). He wrote with co-authors chapters in handbooks such as the 3rd to 5th edition of Handbook for Sound Engineers, Handbuch der Audiotechnik (2008, Springer), Akustische Messtechnik (2009, Springer), Architectural Acoustics Handbook (2017, J. Ross Publishing), and Sound Reinforcement for  Audio Engineers (2023, A Focal Press Book, Taylor & Francis Group London and New York).